藥企如何制訂原料藥的職業接觸限值?
(1)前言
制藥行業在藥物生產過程中會涉及到活性藥物成分(API,原料藥),活性成分(AI)以及可分離中間體(IPI)。這些物質可能具有一定活性、毒性、致敏性和致畸性,其OEL(職業接觸限值) 通常低于1mg/m3,或尚未有公開可信的接觸限值。制藥企業需要根據活性藥物成分所處的各個階段,如藥物發現和研究階段、臨床前研究階段和臨床研究階段,確定數據的來源和詳實程度。
通常臨床前研究階段前期,毒性數據是有限的,一般采取較為保守的OEL取值,可通過作用機制(Mechanism of action)、類似結構或原理的藥物、交叉參照(Read cross 方法)、默認原則等方法來確定。在臨床前研究階段后期和臨床實驗階段,將獲得更多的毒性數據,通過一定流程可得到某個物質相對精確的OEL 或OEB。總之毒性數據越豐富,制訂的OEL以及OEB越準確。
(2)OEL制訂
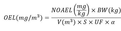
原料藥的OEL可以按照以下公式進行計算:

NOAEL:無可見有害作用水平
BW:成年人體重,一般取值范圍為50~70kg
V:8小時吸入的空氣量,一般取值為10m3
S: 血漿穩態濃度天數(天),一般取值為1
UF:不確定因子,數據來源為急性到慢性的外推(10倍),藥物致癌致敏致畸(10倍),利用LOAEL估算NOAEL(10倍),利用動物數據到人類數據的外推(10倍)
α:吸入吸收率(%),一般取1
(3)OEB分級
一般根據OEL值、治療劑量、LD50、NOAEL、致敏、致細胞突變、致癌、生殖毒性等綜合確定。一般分為5級,當然有些藥廠也有分為6級甚至7級的。OEB4級的產品線,應優先采用全程密閉化設備設施,設計密閉化工藝生產路徑。OEB5級的產品線,應采用全程密閉化設備設施。涉及職業接觸應選用隔離器、手套箱密閉操作、α-β閥、袋進袋出等控制措施。生產設備應選用自身高密閉性的,如三合一干燥器。OEB3級以下的危害相對小,這里不贅述了。
(4)檢測評估
檢測一般有兩個目的,一個是評估工人暴露,一個是測試制藥設備采取的工程措施是否有效,檢測布點可以按照ISPE(國際制藥工程協會)的相關指南開展。
在制藥設備采取的工程控制措施投入運行前,必須進行驗證,常用乳糖甘露醇、萘普生鈉、核黃素等替代物進行模擬操作,以每個OEB 的下限值作為防護性能目標值(CPT),按照ISPE要求進行區域和個體采樣檢測,對采樣的結果進行統計學分析和評估,與所涉及的藥物粉塵的OEL 進行風險評估,以保證工程控制措施的有效。根據評估結果制定周期監測計劃。針對原料藥的檢測,目前國內基本沒實驗室可以開展,一般選擇將樣品快遞到國外實驗室分析。
由于外資藥企審計等原因,目前國內制藥企業也越來越重視API的OEL及OEB制訂,OEL及OEB的制訂技術含量還是挺高的,一般都是需要經驗豐富的毒理學、職業衛生專家來制訂。小編對于這塊的技術略懂一二,有興趣的網友可以加小編微信交流。轉發、點贊文末留郵箱網友將獲得相關資料一套。
(5)參考資料
ISPE醫藥產品基于風險的生產(Risk-MaPP)
ISPE制藥設備藥物粉塵控制性能評估
PSCI相關資料
